New hybrid conjugate gradient method as a convex combination of PRP and RMIL+ methods
DOI:
https://doi.org/10.24193/subbmath.2024.2.14Abstract
The Conjugate Gradient (CG) method is a powerful iterative approach for solving large-scale minimization problems, characterized by its simplicity, low computation cost and good convergence. In this paper, a new hybrid conjugate gradient HLB method (HLB: Hadji-Laskri-Bechouat) is proposed and analysed for unconstrained optimization. We compute the parameter \(\beta_{k}^{HLB}\) as a convex combination of the Polak-Ribi\`{e}re-Polyak \(\left(
\beta _{k}^{PRP}\right) \left[ 1\right] \) and the Mohd Rivaie-Mustafa Mamat
and Abdelrhaman Abashar \(\left( \beta _{k}^{RMIL+}\right) \) i.e \(\beta
_{k}^{HLB}=\left( 1-\theta _{k}\right) \beta _{k}^{PRP}+\theta _{k}\beta
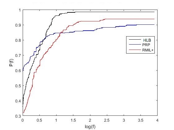
_{k}^{RMIL+}\). \ By comparing numerically CGHLB with PRP and RMIL+ and by using the Dolan and More CPU performance, we deduce that CGHLB is more efficient.
References
Al-Baali, M., Descent property and global convergence of Fletcher-Reeves method with
inexact line search, IMA J. Numer. Anal., 5(1985), no. 1, 121-124.
Al-Bayati, A.Y., Al-Assady, N.H., Conjugate Gradient Method, Technical Research re-
port, Technical Research, School of Computer Studies, Leeds University, 1986.
Andrei, N., An unconstrained optimization test functions collection, Adv. Model. Optim.,
(2008), no. 1, 147-161.
Andrei, N., Another hybrid conjugate gradient algorithm for unconstrained optimization,
Numer. Algorithms, 47(2008), no. 2, 143-156.
Andrei, N., Hybrid Conjugate Gradient Algorithm for Unconstrained Optimization, J.
Optim. Theory Appl., 141(2009), no. 2, 249-264.
Andrei, N., Nonlinear Conjugate Gradient Methods for Unconstrained Optimization,
Springer International Publishing, 2020.
Bongartz, I., Conn, A.R., Gould, N.I.M., Toint, P.L., CUTE: Constrained and uncon-
strained testing environments, ACM Trans. Math. Softw., 21(1995), no. 1, 123-160.
Dai, Y.H., Yuan, Y., A nonlinear conjugate gradient method with a strong global con-
vergence property, SIAM J. Optim., 10(1999), no. 1, 177-182.
Dai, Y.H., Yuan, Y., An e cient hybrid conjugate gradient method for unconstrained
optimization, Ann. Oper. Res., 103(2001), no. 1, 33-47.
Daniel, J.W., The conjugate gradient method for linear and nonlinear operator equations,
SIAM J. Optim., 10(1967), no. 1, 10-26.
Delladji, S., Bellou , M., Sellami, B., Behavior of the combination of PRP and HZ
methods for unconstrained optimization, Numer. Algebra Control Optim., 11(2021), no.
, 377-389.
Djordjevi c, S.S., New hybrid conjugate gradient method as a convex combination of LS
and FR methods, Acta Math. Sci. Ser. B (Engl. Ed.), 39(2019), no 1, 214-228.
Fletcher, R., Practical Methods of Optimization, vol. 1: Unconstrained Optimization,
John Wiley & Sons, New York, 1987.
Gazi, S., Khatab, H., New iterative conjugate gradient method for nonlinear uncon-
strained optimization using homptopy technique, IOSR Journal of Mathmatics, (2014),
-82.
Hager, W.W., Zhang, H., A new conjugate gradient method with guaranteed descent and
an e cient line search, SIAM J. Optim., 16(2005), no. 1, 170-192.
Hager, W.W., Zhang, H., A survey of nonlinear conjugate gradient methods, Pac. J.
Optim., 2(2006), no. 1, 35-58.
Hestenes, M., Methods of conjugate gradients for solving linear systems, Research Jour-
nal of the National Bureau of Standards, 49(1952), no. 22, 409-436.
Liu, Y., Storey, C., E cient generalized conjugate gradient algorithms, Part 1, J. Optim.
Theory Appl., 69(1991), no. 1, 129-137.
Polak, E., Ribiere, G., Note sur la convergence des m ethodes de directions conjug ees,
ESAIM: Math. Model. Numer. Anal., 3(1969), no. R1, 35-43.
Polyak, B.T., The conjugate gradient method in extremal problems, Comput. Math.
Math. Phys., 9(1969), no. 4, 94-112.
Rivaie, M., Mustafa, M., Abashar, A., A new class of nonlinear conjugate gradient
coe cients with exact and inexact line searches, Appl. Math. Comput., 268(2015), 1152-
Rivaie, M., Mustafa, M., June, L.W., Mohd, I., A new class of nonlinear conjugate
gradient coe cient with global convergence properties, Appl. Math. Comput., 218(2012),
no. 22, 11323-11332.
Shanno, D.F., Conjugate gradient methods with inexact searches, Math. Oper. Res.,
(1978), no. 3, 244-256.
Touati-Ahmed, D., Storey, C., E cient hybrid conjugate gradient technique, J. Optim.
Theory Appl., 64(1990), no. 2, 379-397.
Wang, L.J., Xu, L., Xie, Y.X., Du, Y.X., Han, X., A new hybrid conjugate gradient
method for dynamic force reconstruction, Advances in Mechanical Engineering, 11(2019),
no. 1, 1-21.
Zhang, L., Zhou, W., Two descent hybrid conjugate gradient methodq for optimization,
J. Comput. Appl. Math., 216(2008), no. 1, 251-264.
Zhifeng, D., Comments on hybrid conjugate gradient algorithm for unconstrained opti-
mization, J. Optim. Theory Appl., 175(2017), no. 1, 286-291.
Zoutendijk, G., Nonlinear programming, computational methods, Integer and Nonlinear
Programming (J. Abadie, ed.), North-Holland, Amsterdam, (1970), 37-86.
Downloads
Additional Files
- New Hybrid Conjugate Gradient Method as a Convex Combination of PRP and RMIL+ Methods
- New Hybrid Conjugate Gradient Method as a Convex Combination of PRP and RMIL+ Methods
- New Hybrid Conjugate Gradient Method as a Convex Combination of PRP and RMIL+ Methods
- New Hybrid Conjugate Gradient Method as a Convex Combination of PRP and RMIL+ Methods
- New Hybrid Conjugate Gradient Method as a Convex Combination of PRP and RMIL+ Methods
Published
Issue
Section
License
This work is licensed under a Creative Commons Attribution-NonCommercial-NoDerivatives 4.0 International License.
Transfer of copyright agreement: When the article is accepted for publication, the authors and the representative of the coauthors, hereby agree to transfer to Studia Universitatis Babeș-Bolyai Mathematica all rights, including those pertaining to electronic forms and transmissions, under existing copyright laws, except for the following, which the authors specifically retain: the authors can use the material however they want as long as it fits the NC ND terms of the license. The authors have all rights for reuse according to the license.